Livro: Varian, Hal - Microeconomia (2015) - Parte IV

            

Livro: Varian, Hal - Microeconomia (2015) - Parte IV


Pgs. 141-170:


CAPÍTULO 5: "Escolha"


95 - Começa tratando da "escolha ótima". Trata-se, vale lembrar, de tangenciar a curva de indiferença mais alta à reta orçamentária. No diagrama, a cesta de bens associada a essa curva de indiferença é identificada como (x *1 , x*2):



96 - Apresenta, depois, o conceito de "ótimo de fronteira". Não sei bem para que serve, talvez para mostrar porquês de alguns "não-consumos":



97 - Não é porque tangencia que é necessariamente cesta ótima. Tem que ver as demais curvas. Observemos a Figura 5.4. Nela, temos três cestas, nas quais a condição de tangência é satisfeita, todas interiores, mas só duas cestas são ótimas.



98 - "Há, porém, um caso importante em que ela é suficiente: o das preferências convexas. Nele, qualquer ponto que satisfaça a condição de tangência terá de ser um ponto ótimo. Isso é claro do ponto de vista geométrico: como as curvas de indiferença convexas têm de curvar-se e afastar-se da reta orçamentária, elas não podem curvar-se para trás e tocá-la de novo."


99 - A condição de que a TMS tenha de igualar-se à inclinação da reta orçamentária num ótimo interior é óbvia do ponto de vista gráfico, mas o que significa em termos de economia? (...) Se o consumidor desistir de uma unidade do bem 1, ele poderá comprar p1/p2 unidades do bem 2. Se o consumidor se encontrar numa cesta de consumo em que esteja disposto a permanecer, tem de ser uma em que a TMS iguale essa taxa de intercâmbio. (...) Suponhamos que a TMS seja Δx2 /Δx1 = –1/2 e que a razão dos preços seja 1/1. Isso quer dizer que o consumidor está disposto a desistir de duas unidades do bem 1 para adquirir uma unidade do bem 2, mas o mercado quer que os bens sejam trocados na base de 1 por 1. Assim, o consumidor certamente desejaria abrir mão de um pouco do bem 1 para adquirir um pouco mais do bem 2. Sempre que a TMS diferir da razão de preços, o consumidor não poderá estar em seu ponto ótimo de escolha.


100 - Em geral, quando os preços e a renda variam, a escolha ótima do consumidor também varia. A função demanda é a função que relaciona a escolha ótima – ou seja, as quantidades demandadas – com os diferentes valores de preços e rendas.


101 - No caso dos substitutos perfeitos, a pessoa gasta tudo no que estiver mais barato. Se estiver tudo com mesmo preço, o consumidor não se importará em comprar um ou outro. Explicando de forma mais desnecessariamente complexa: Se p2 > p1 , a inclinação da reta orçamentária será mais plana do que a das curvas de indiferença. Nesse caso, a cesta ótima será aquela em que o consumidor gastar todo o seu dinheiro no bem 1. Se p1 > p2 , o consumidor comprará apenas o bem 2.



102 - Varian também tentou complicar a explicação dos "complementares perfeitos", mas é tudo muito simples: A função demanda dessa escolha ótima é bastante intuitiva. Como os dois bens são sempre consumidos juntos, é como se o consumidor gastasse todo o seu dinheiro num único bem cujo preço fosse de p1 + p2. Bens discretos também é simples. Nem vou anotar.


103 - As "preferências côncavas" exigem cuidado, pois a escolha ótima nem sempre é a da curva que parece ser. A curva de indiferença mais "alta" é cruzada lá embaixo:



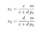
104 - Coloca que o apêndice de cálculo do livro derivou a escolha ótima em Cobb-Douglas:



105 - "Essas funções de demanda são geralmente úteis em exemplos algébricos, de modo que seria importante que você as decorasse." (Então tá, se eu precisar usar isso na vida, vou decorar).


106 - Ainda sobre Cobb-Douglas, afirma uma propriedade importante da mesma: o consumidor Cobb-Douglas gasta sempre uma fração fixa de sua renda em cada bem. O tamanho da fração é determinado pelo expoente da função Cobb-Douglas.


107 - Coloca que os economistas geralmente observam os comportamentos dos consumidores para deduzir uma função de demanda. Coletam dados baseados em preços e quantidades e a fração da renda gasta em cada item e calculam como eles estão maximizando a utilidade dos bens. A partir daí, podem então tentar prever movimentos de demanda a depender das variáveis e mesmo propor políticas econômicas mais eficientes. Deu um exemplo lá onde se encaixava Cobb-Douglas: "No exemplo simples que acabamos de descrever, pôde-se observar que as frações de renda eram relativamente constantes, de modo que a função de utilidade Cobb-Douglas teria um bom ajustamento. Em outros casos, seria apropriada uma versão mais complicada da função de utilidade. Os cálculos poderiam tornar-se mais difíceis e talvez precisássemos de um computador para fazer a estimativa, mas a ideia básica do procedimento continuaria sendo a mesma."



108 - Uma decorrência lógica dessa escolha de lidar com preferências subjetivas e restrições orçamentárias: O mercado oferece a todos a mesma taxa de troca para a manteiga e o leite, e todos ajustarão seu consumo dos bens até que sua própria avaliação marginal “interna” dos dois bens se iguale à avaliação “externa” que o mercado faz desses bens. (...) todos os que consumirem os dois bens deverão ter a mesma taxa marginal de substituição ("mesmo geralmente escolhendo consumir proporções de cada diferentes", eu adicionaria isso a essa explicação desnecessariamente abstrata de Varian).


109 - ...A partir disso, faz consideração - também mera decorrência lógica, mas interessante de se frisar - sobre invenções/inovações. Se a pessoa cria uma máquina nova que transforma leite em manteiga, tem que respeitar a TMgS desses dois bens. Só vale se melhorar. Só terá lucro se a soma "em utilidade" (ou em tempo de trabalho representado pelas escolhas baseadas nas restrições orçamentárias, outro modo de ver), digamos, da transformação for maior que a dos insumos usados. O fato de os preços não serem números arbitrários, mas indicadores do valor marginal que as pessoas atribuem às coisas, constitui uma das ideias mais fundamentais e importantes da economia.


110 - Imposto sobre o consumo tem efeito de um aumento de preço do bem específico. A Figura 5.9 fornece um exemplo de como a variação do preço pode afetar a demanda. (Achei o gráfico uma confusão e a explicação matemática dele foi mais confusa ainda... Ou seja, fiquei só com a legenda abaixo pra facilitar, pois me parece que ela já diz tudo. Sem tempo para mais)



111 - Em mais palavras de Varian, o imposto de renda é realmente superior ao imposto sobre a quantidade, uma vez que, com ele, podemos obter a mesma receita de um consumidor e ainda deixá-lo em melhor situação do que com o imposto sobre a quantidade. (Se pensar bem, é o esperado, por "amarrar menos artificialmente" as coisas... Nem precisa de muito drama para concluir). (Por sinal, creio que o sistema tributário brasileiro parece preferir distorcer os preços tudo e dificultar que se maximize essas "utilidades" da vida).


EXERCÍCIOS E APÊNDICE


112 - Achei a maioria pouco interessante. Eu saquei esta aqui, mas é sempre bom ressaltar/lembrar: P = Se o consumidor tiver uma função de utilidade u(x1 , x2 ) = x1x 4 2 , que fração da renda dele será gasta no bem 2? R = Essa é uma função de utilidade Cobb-Douglas, de maneira que o consumidor gastará 4/(1 + 4) = 4/5 de sua renda no bem 2.


113 - Essa é interessante: P = Para que tipo de preferências o consumidor estará exatamente tão bem quanto antes ao defrontar-se tanto com o imposto sobre a quantidade como com o imposto sobre a renda? R = Para preferências exóticas, tais como complementares perfeitos, em que a variação no preço não induz a nenhuma variação na demanda.


114 - Mais uma vez não vi em que o apêndice matemático serve aos meus objetivos.


.


Comentários